알고리즘

Artificial Potential Field (APF)

정지홍 2025. 2. 11. 12:20

Artificial Potential Field (APF)

  • APF는 두가지의 field로 나뉜다.
    • Attractive potential field : 목표 지점에서 생성하며, 이는 로봇을 끌어당기는 필드이다.
    •  Repulsive potential field : 장애물 지점에서 생성하며, 로봇을 밀어내는 반발력을 가진다.
  • 단단하면서 직관적인 방식으로 실시간 경로 계획이 가능하다. 하지만 local minima에 빠질수있다.
  • 한계점
    • 1. 목표 도달시 진동 문제
      • 목표 지점에 가까워질수록 힘이 감소하면서, 작은 진동이 발생 가능. 특히나 로봇이 특정한 방향에서 반발력을 받으면 목표를 중심으로 회전할 수 있음.
    • 2. 협소한 통로 문제
      • 좁은 통로를 지날시, 양쪽 벽의 반발력이 너무 강하면 로봇이 통과를 못함. 
        • 해결하고자 한다면 repulsive potential field를 거리 기반이 아니라 확률적으로 조절해야함.
    • 3. local minima 문제
      • potential energy function이 비대칭이 아니라면, 특정한 지점에서 로봇이 균형 상태에 빠져서 정지할 수 있다.
      • 주요 원인
        • 1. 장애물에 의해서 만들어진 local minima값
          • 장애물의 repulsive potential field가 goal로 가는 path를 말을때 발생함. 특히 U자형에서 로봇이 갇힐 위험이 크다
        • 2. attractive potential과 repulsive potential이 균형을 이루는 지점에서 정지 가능
          • 특히 목표와 장애물이 대각선일때 자주 발생

 

 

 

potential field 정의

  • 물리학에서 사용하는 potential energy 개념을 빌려서, 로봇이 이동할 공간에 force와 energy를 모델링하는 방법이다.
    • Target or Goal : 로봇을 끌어당기는 attractive potential field
    • Obstacles : 로봇을 밀어내는 repulsive potential field 
    • total potential field : 인력과 반발력의 합으로 계산
      • ==> 로봇은 energy가 가장 낮아지는 방향으로 이동하면서 목표지점까지 도달하고자 한다.

 

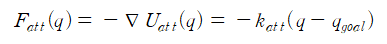
Attractive potential field 정의

  • goal까지 거리에 비례하는 potential energy를 설정해서, goal에 가까워질수록 energy가 낮아지도록 만든다.
    • 로봇은 목표 방향으로 직선적인 힘을 받으면서 이동한다.

potential energy 함수
위의 식으로부터 유도되는 힘force(인력)이다.

 

 

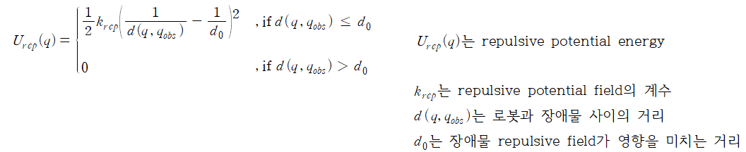
Repulsive potential field 정의

  • 장애물 근처에서 로봇이 멀어지도록, 장애물과의 거리에 반비례하는 energy를 설정한다.
    • 장애물이 가까이 있을수록 밀어내는 힘이 발생한다.

potential energy 함수
위의 식으로부터 유도되는 반발력

 

 

 

 

Total Potential Field

  • 결과적으로 로봇은 potential energy가 낮은 방향으로 이동하게 된다.

'알고리즘' 카테고리의 다른 글

PRM star  (0) 2025.02.18
GTSP , TSP ( Traveling Salesman Problem )  (0) 2025.02.14
CBS( Conflict-Based Search )  (0) 2025.02.10
PRM ( probabilistic Roadmap )  (0) 2025.02.06
RRT (Rapidly-Exploring Random Tree)  (0) 2025.02.03