정지홍

  • 홈
  • 태그
  • 방명록

SA 1

Simulated Annealing

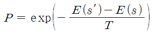
SA SA는 복잡한 최적화 문제 or 탐색공간의 global optimum을 찾기 위한 확률론적 최적화 기법이다.이 방법은 금속공학에서 금속을 서서히 냉각시키면서 결정구조를 안정화 시키는 'annealing' 공정에서 영감을 받은것.'annealing 공정'의 영감이란?금속을 고온에서 천천히 냉각시키면, 원자들의 결정구조가 안정된 상태를 형성함. 하지만 이를 급격히 냉각 시키면 결정구조는 불안정한 상태를 형성하게 된다.그러면 왜 'annealing 공정'이 최적화 문제와 유사한가?==> 최적화 문제도 초기에는 '높은 온도'에서 많은 해를 탐색하며, 이후 '낮은 온도'로 천천히 가면서 해가 개선되는 방향으로 향하게 유도한다.즉, 높은 온도에서는 나쁜 해도 확률적으로 허용되어서 지역 최적해에 빠지지않고 전역..

알고리즘 2025.03.08
이전
1
다음
더보기
프로필사진

정지홍

  • 분류 전체보기 (709) N
    • ROS 2 (36)
      • turtlebot4 (6)
    • 코딩 및 기타 (153)
      • 이미지 (38)
      • flutter (2)
      • django공부 (4)
    • gazebo (44)
      • SLAM (6)
      • Nav2 (9)
    • 리눅스 (127)
      • ansible (3)
      • postgresql (3)
      • kafka (66)
    • 암호_ (20)
    • 보안_기타 (35)
      • ftz (15)
      • 드림핵 (1)
    • di (40)
    • 책 (48)
      • 통계학개론(22.12.27-23.01.02)(영지문화사) (11)
      • 파이썬 데이터과학통계학습(23.01.03-23.01.09)(정보.. (7)
      • 실체가 손에 잡히는 딥러닝(23.01.10-23.01.16)(책.. (6)
      • 밑바닥부터 시작하는딥러닝1(22.01.17-22.01.25)(한.. (5)
      • 구글코랩으로 배우는 인공지능기술(23.01.26-23.02.04.. (8)
      • probability robotics (9)
    • 3-1 (20)
      • 3학년 1학기 데이터베이스 (CS1048 - 01) (4)
      • 3학년 1학기 빅데이터분석 (CS1304 - 01) (10)
      • 3학년 1학기 시스템프로그래밍 (CS1302 - 01) (3)
      • 3학년 1학기 웹서버컴퓨팅 (CS1301 - 01) (3)
    • 네트워크 (7)
    • 논문 (33) N
    • docker (6)
    • fuzzy (17)
    • 알고리즘 (32)
    • 강화학습 (18)
    • px4_sim (15)
    • 논문-참고용 (5)

Tag

rrt star, ros, ROS 2, rrt*, RRT, gz sim, turtlesim, Gazebo, Nav2, urdf, 퍼지, ros2, Fuzzy, 티스토리챌린지, 퍼지이론, SLAM, 퍼지 이론, turtlebot, anytime rrt, 오블완,

최근글과 인기글

  • 최근글
  • 인기글

최근댓글

공지사항

페이스북 트위터 플러그인

  • Facebook
  • Twitter

Archives

Calendar

«   2026/01   »
일 월 화 수 목 금 토
1 2 3
4 5 6 7 8 9 10
11 12 13 14 15 16 17
18 19 20 21 22 23 24
25 26 27 28 29 30 31

방문자수Total

  • Today :
  • Yesterday :

Copyright © Kakao Corp. All rights reserved.

티스토리툴바