정지홍

  • 홈
  • 태그
  • 방명록

DWA 1

DWA( dynamic window approach )

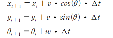
선속도로봇이 얼마나 앞으로 가는지만약 v=10 m/s이며 , Δt = 0.1이라면, 0.1초동안 1만큼 이동한다.그러면 v=30m/s라면, 0.1초동안 3미터씩 이동하는 것 DWA실시간 속도 기반의 path planning 및 장애물 회피 알고리즘이다.로봇이 goal을 향해서 이동할때, 로봇의 동적 제약( velocity , max_speed )와 주변 장애물을 고려해서 매 순간의 "속도( v , w )"를 선택한다.주요목적빠른 실시간 장애물 회피와 경로 추종입력현재 로봇의 위치와 속도goal주변 장애물( 센서 입력,,,, laserscan과 같은,,,, )출력로봇의 다음 주기(dt)동안 적용한 선속도(v)와 각속도(w) 핵심 아이디어로봇의 속도(v , w) 공간에서 현재 가능한 조합을 동적으로 계산..

알고리즘 2025.06.08
이전
1
다음
더보기
프로필사진

정지홍

  • 분류 전체보기 (710) N
    • ROS 2 (37) N
      • turtlebot4 (6)
    • 코딩 및 기타 (153)
      • 이미지 (38)
      • flutter (2)
      • django공부 (4)
    • gazebo (44)
      • SLAM (6)
      • Nav2 (9)
    • 리눅스 (127)
      • ansible (3)
      • postgresql (3)
      • kafka (66)
    • 암호_ (20)
    • 보안_기타 (35)
      • ftz (15)
      • 드림핵 (1)
    • di (40)
    • 책 (48)
      • 통계학개론(22.12.27-23.01.02)(영지문화사) (11)
      • 파이썬 데이터과학통계학습(23.01.03-23.01.09)(정보.. (7)
      • 실체가 손에 잡히는 딥러닝(23.01.10-23.01.16)(책.. (6)
      • 밑바닥부터 시작하는딥러닝1(22.01.17-22.01.25)(한.. (5)
      • 구글코랩으로 배우는 인공지능기술(23.01.26-23.02.04.. (8)
      • probability robotics (9)
    • 3-1 (20)
      • 3학년 1학기 데이터베이스 (CS1048 - 01) (4)
      • 3학년 1학기 빅데이터분석 (CS1304 - 01) (10)
      • 3학년 1학기 시스템프로그래밍 (CS1302 - 01) (3)
      • 3학년 1학기 웹서버컴퓨팅 (CS1301 - 01) (3)
    • 네트워크 (7)
    • 논문 (33) N
    • docker (6)
    • fuzzy (17)
    • 알고리즘 (32)
    • 강화학습 (18)
    • px4_sim (15)
    • 논문-참고용 (5)

Tag

퍼지, turtlebot, turtlesim, urdf, rrt*, ros, Nav2, ROS 2, 티스토리챌린지, 퍼지이론, 오블완, 퍼지 이론, Gazebo, SLAM, gz sim, Fuzzy, ros2, rrt star, RRT, anytime rrt,

최근글과 인기글

  • 최근글
  • 인기글

최근댓글

공지사항

페이스북 트위터 플러그인

  • Facebook
  • Twitter

Archives

Calendar

«   2026/01   »
일 월 화 수 목 금 토
1 2 3
4 5 6 7 8 9 10
11 12 13 14 15 16 17
18 19 20 21 22 23 24
25 26 27 28 29 30 31

방문자수Total

  • Today :
  • Yesterday :

Copyright © Kakao Corp. All rights reserved.

티스토리툴바