강화학습
행동 가치 함수 , 벨만 최적 방정식 , 최적 정책
정지홍
2024. 12. 3. 08:38

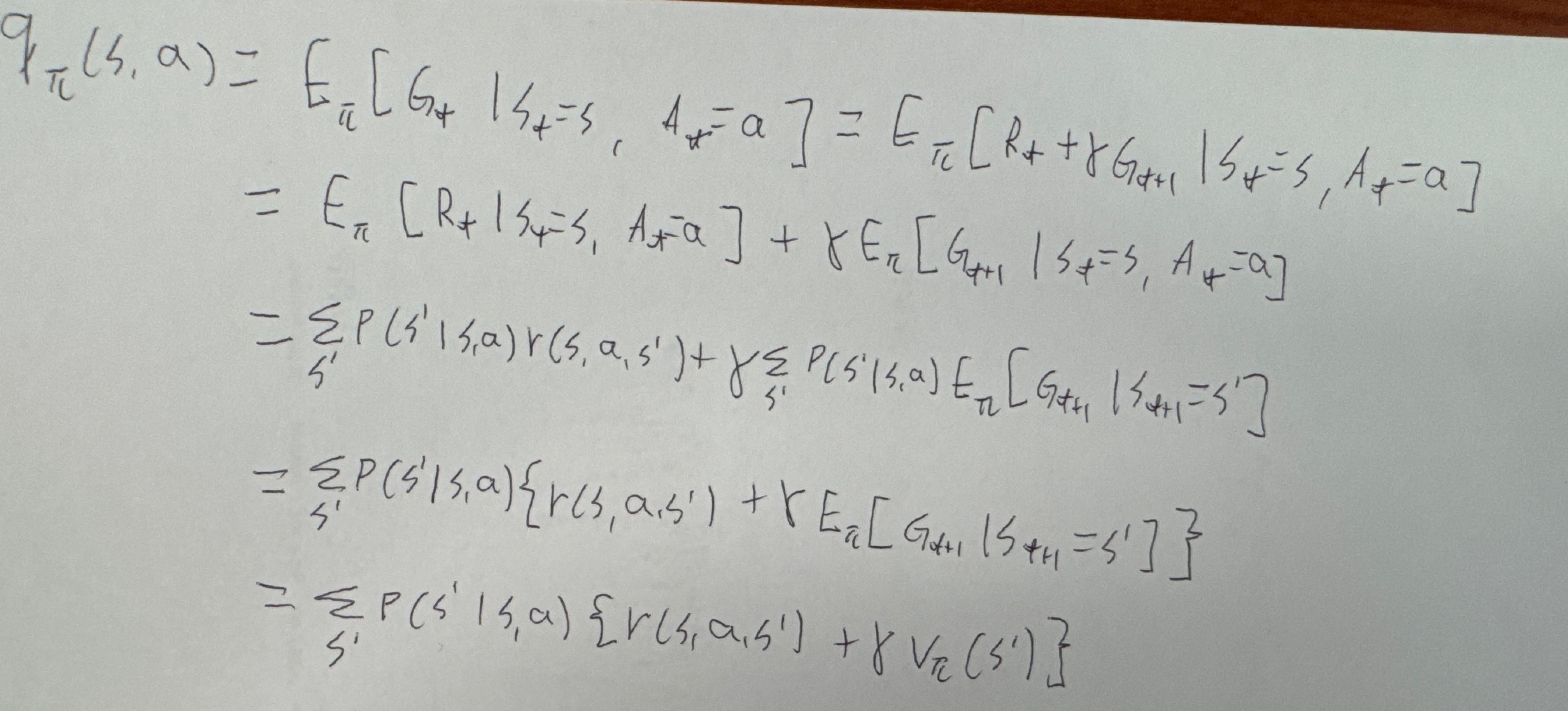
행동 가치 함수란? action - value function
- 상태 가치 함수에서 필요한 것은 상태 s와 정책π 이다.
여기에서 행동 a를 추가한것이 행동 가치 함수이다.
Q함수라고도 한다.

- 시간이 t일때, state=s인 경우에 action=a를 수행함을 의미하며, t+1부터는 정책π에 따라서 행동을 한다.
이때 얻을 수 있는 기대 수익은 qπ( s,a ) 이다.- 상태 가치함수와 다른점은, 상태 가치 함수는 정책π에 따라서 action을 수행한다면, 행동 가치 함수에서는 action을 자유롭게 선택한다.
- 만약 Q함수의 action을 정책에 따라서 선택하게 한다면, 상태 가치 함수와 같아진다.





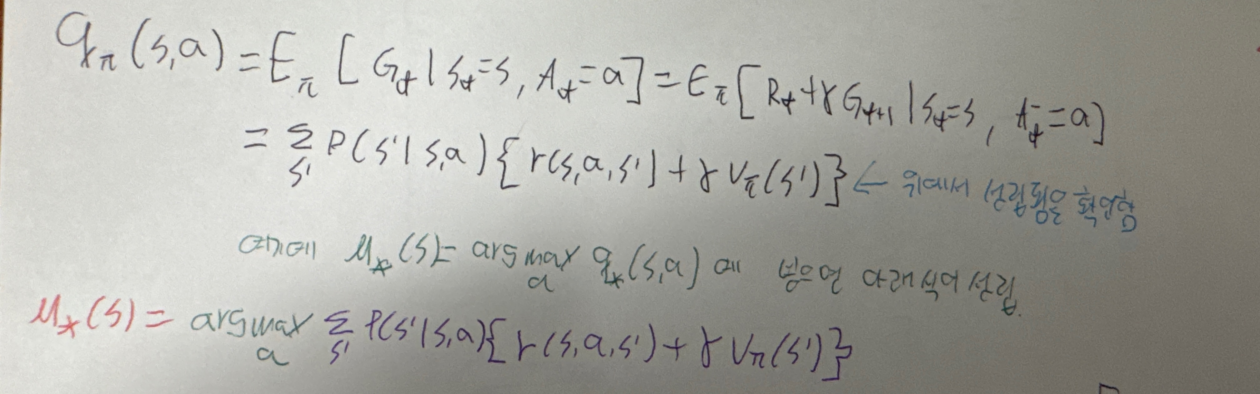
벨만 최적 방정식 bellman optimality equation
- 우리의 목표는 최적인 정책을 찾는 것이다.
- 최적인 정책: 모든 상태에서 상태 가치 함수가 최대인 정책을 의미.
- 즉, 최적 정책에 대해서 성립하는 것이 벨만 최적 방정식이다.

- 위의 벨만 방정식에서 최적 정책을 π*( a | s ) 라고 하자. 그러면 v*(s)는 아래의 식과 같다...


최적 정책 구하는 방법
- 우선 위에서 벨만 최적 방정식을 바탕으로 최적 행동 가치 함수를 알고 있다고 가정하면, 아래의 식이 성립한다.

