fuzzy
퍼지 관계 , 퍼지 관계 간의 연산
정지홍
2024. 11. 15. 08:18
곱집합 product set
- X x Y = { (x,y) | x∈X , y ∈Y }를 곱집합 이라고 한다.
- ex)
- X={1,2} , Y={a,b} => XxY={ (1,a) , (2,a) , (1,b) , (2,b) }
- 교환 법칙은 성립 안함
- 위에서 X x Y의 부분 집합 R은 X에서 Y로의 관계라고 하기도 한다.
만약 둘 다 R의 부분 집합이라면, x와 y는 R의 관계이다.
퍼지 관계 fuzzy relation
- X,Y를 임의의 집합이라고 하면, R이 X x Y에서 퍼지 관계라는 것은 소속정도 함수값이 μR(x,y)인 X x Y에서 [0,1] 로의 함수이다.


- ex)
- X=Y=R을 실수들의 집합이라고 하자.


- 만약 위의 예제에서 (3,1)이라면 2/55이다. 이는 "3이 1보다 훨씬 큰 정도는 2/55"라고 정의 가능하다.
- 만약 (5,1)이라면 8/67이며, 이는 "5가 1보다 훨씬 큰 정도는 8/67"이라고 정의 가능하다.
- ex) X={부산 , 광주 } , Y={서울 , 강릉 , 인천}이라고 하자. 퍼지 관계 R은 "매우 멀다"라는 언어 관계이며 아래와 같이 나타낸다.
| 부산 | 광주 | |
| 서울 | 0.8 | 0.6 |
| 강릉 | 0.7 | 0.9 |
| 인천 | 0.9 | 0.7 |

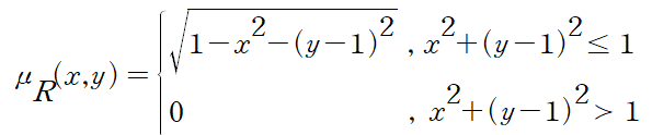
- 2차원 퍼지수의 예시...
- 실수들의 곱집합 RxR에서 정의된 퍼지 관계R의 소속정도 함수이다.

퍼지 관계의 연산
- 퍼지 관계들의 족family에서 이루어지는 연산



퍼지 합관계 union of fuzzy relations

퍼지 교관계 intersection of fuzzy relations

퍼지 부정관계 negation of fuzzy relation

소직적 direct min product
- A와 B가 각각 전체집합 X와 Y에서 정의된 퍼지 집합이라고 하자.
그러면 아래의 퍼지관계의 소속정도 함수를 가진것이 A와 B의 소직적이라고 함.

대직적 direct max product
- A와 B가 각각 전체집합 X와 Y에서 정의된 퍼지 집합이라고 하자.
그러면 아래의 퍼지관계의 소속정도 함수를 가진것이 A와 B의 대직적이라고 함.

ex)
- A = ( x1 , 0 ) , ( x2 , 0.1 ) , ( x3 , 1 )
- B = ( y1 , 0.3 ) , ( y2 , 1 ) , ( y3 , 0.2 ) , ( y4 , 0.1 )

합성 퍼지 관계
- 최대-최소 합성 관계 ( max-min composition )
- 최소-최대 합성 관계 ( min-max composition )





