fuzzy
퍼지수의 정의 및 종류 ( 삼각형 , 사다리꼴 , 범종형 퍼지수...)
정지홍
2024. 11. 8. 08:33
퍼지수 fuzzy numer
- 퍼지 집합의 한 형태
- 삼각형 퍼지수
- a- 레벨 집합을 구간수로 가지는 퍼지수
- 소속 정도 함수의 정의역이 실수들의 집합 R인 퍼지 집합 A를 fuzzy number라고 한다.
- 즉, 소속정도 함수가 µA가 R에서 [0,1] 로 가는 함수일때를 의미
- 삼각형 퍼지수 , 사다리꼴 퍼지수 , 지수형 퍼지수 , 좌우가 다른 형의 함수인 L-R 퍼지수 등 존재
정규퍼지수 ( normal fuzzy number )
- 퍼지수 A의 소속정도 함수인 µA 가 최대값이 1인 경우 A를 정규 퍼지수라고 한다.
- 소속정도가 0보다 큰 점들의 집합을 A의 지지집합(support set) 이라고 한다.
- S(A) = { x∈R | µA(x) > 0 } , A={a}일때 S(a)로 표시
- A가 퍼지수이면 A의 여집합도 퍼지수이다.
- A의 지지집합 S(A)가 유계(닫힌 구간)이면, A의 여집합은 정규 퍼지수이다.

- 위의 그래프를 보면 정의된 퍼지수 A는 µA(1)=1 이니 정규 퍼지수이다.
- A의 지지집합은 S(A)=(0,2) 이다.
- 1을 중심으로 소속정도가 낮아지니 A는 '1에 가까운 수'를 나타내는 퍼지수이다

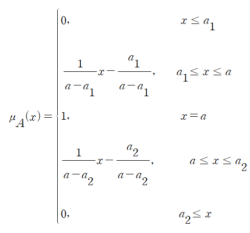
삼각형 퍼지수 triamgular fuzzy number
- 퍼지수 A의 소속 정도 함수 µA : R -> [ 0,1 ] 이 아래와 같을때, 이러한 퍼지수 A를 삼각형 퍼지수라고 함
- 기호로는 ( a1 , a , a2 )로 표시함. ( x=a는 유계 폐구간 [ a1 , a2 ]내의 한점이다. )



사다리꼴 퍼지수
- 구간 [a,b]에서 소속정도 값이 1인 소속 정도 함수 µA 를 가진 퍼지수 A를 의미. ( a1,a,b,b1)으로 표기



범종형 퍼지수 bell-shaped fuzzy number
- 확률현상들은 주로 정규분포 모양으로 만들어지며, 이를 나타내기 위한 퍼지수
- m은 함수 f의 평균
- sigma는 표준푠차
- X는 분포상태를 의미

