fuzzy
유계 폐구간(구간수)들의 연산
정지홍
2024. 11. 7. 13:30
유계 폐구간 bounded closed interval
- 여러 형태의 구간 주 특별히 양 끝점이 실수이고, 그 구간에 포함될 때, 그 구간을 유계 폐구간이라고 함
구간수 interval number

점구간 point interval
- 양 끝점이 같은 구간수인 [a,a] , a∈R을 a라고 표시하고 이를 점구간이라고 한다.
- 따라서 사실상, 실수는 구간수이다. 그리고 실수의 집합 R은 구간수들의 집합 I(R)의 부분 집합이다.
- R = { [a,a] | a∈R } ⊂ I(R) = { [a,b] | a,b∈R }
구간수의 상과 역

- 원래 구간수 A와 그의 상(image)는 원점에 관해서 서로 대칭이다.
- 즉, A의 상은 실수의 덧셈 연산 +에 관하여 A 원소의 역원들의 모임이다.
- 역(inverse)는 곱셈에 관한 A의 원소들의 역원의 집합이다.

구간수의 덧셈 ⊕

구간수의 뺄셈 ⊖

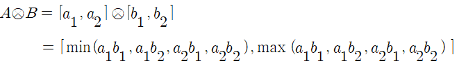
구간수의 곱셈 ⊗

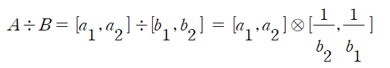
구간수의 나눗셈
